ABAur

White dashed contour lines mark radial Av=0.01 and 1,
black dashed contour lines mark vertical Av=1 and 10.
For SED and comparison to continuum and line observations,
click on ABAur_DIANAfit.ps.gz below.
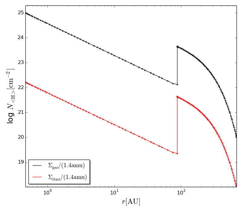
ABAur_coldens.png
ABAur_dens.png
ABAur_DIANAfit.ps.gz
ABAur_ModelOutput.tgz
ABAur_ModelSetup.tgz
ABAur.para
ABAur.properties