CYTau

White dashed contour lines mark radial Av=0.01 and 1,
black dashed contour lines mark vertical Av=1 and 10.
For SED and comparison to continuum and line observations,
click on CYTau_DIANAfit.ps.gz below.
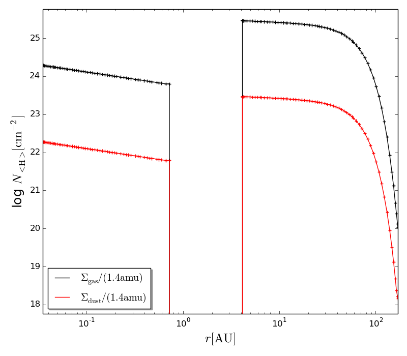
CYTau_coldens.png
CYTau_dens.png
CYTau_DIANAfit.ps.gz
CYTau_ModelOutput.tgz
CYTau_ModelSetup.tgz
CYTau.para
CYTau.properties