DMTau

White dashed contour lines mark radial Av=0.01 and 1,
black dashed contour lines mark vertical Av=1 and 10.
For SED and comparison to continuum and line observations,
click on DMTau_DIANAfit.ps.gz below.
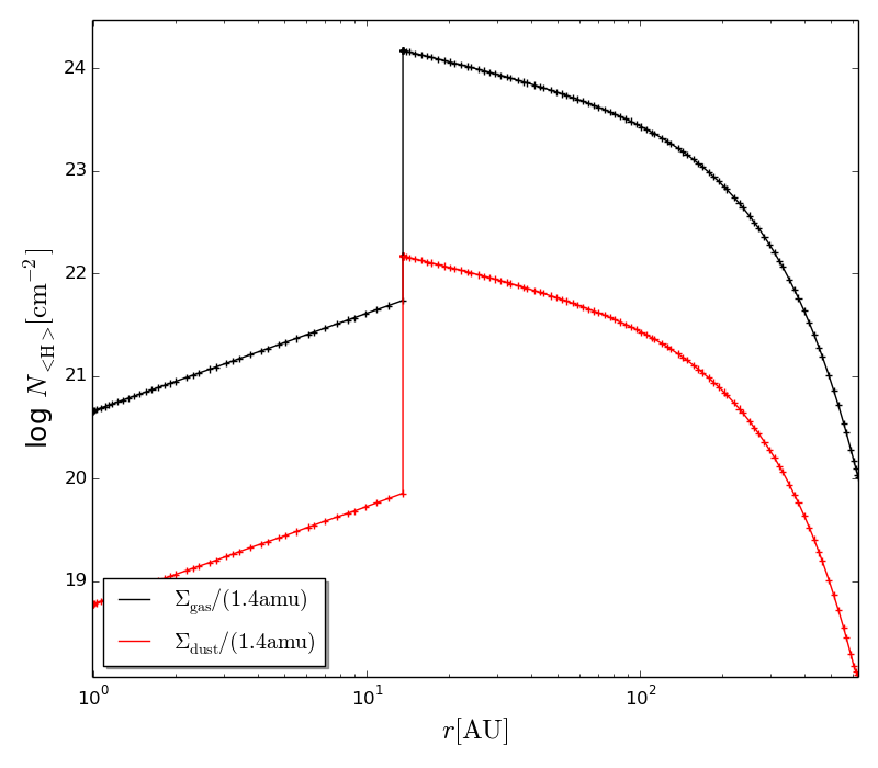
DMTau_coldens.png
DMTau_dens.png
DMTau_DIANAfit.ps.gz
DMTau_ModelOutput.tgz
DMTau_ModelSetup.tgz
DMTau.para
DMTau.properties