GMAur

White dashed contour lines mark radial Av=0.01 and 1,
black dashed contour lines mark vertical Av=1 and 10.
For SED and comparison to continuum and line observations,
click on GMAur_DIANAfit.ps.gz below.
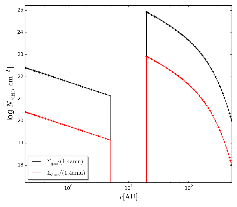
GMAur_coldens.png
GMAur_dens.png
GMAur_DIANAfit.ps.gz
GMAur_ModelOutput.tgz
GMAur_ModelSetup.tgz
GMAur.para
GMAur.properties