HD169142

White dashed contour lines mark radial Av=0.01 and 1,
black dashed contour lines mark vertical Av=1 and 10.
For SED and comparison to continuum and line observations,
click on HD169142_DIANAfit.ps.gz below.
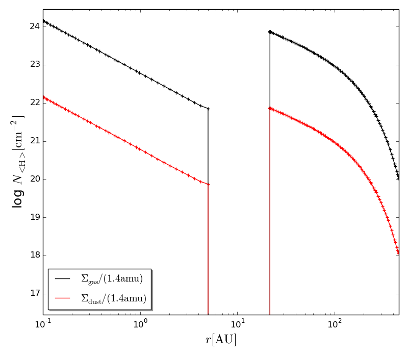
HD169142_coldens.png
HD169142_dens.png
HD169142_DIANAfit.ps.gz
HD169142_ModelOutput.tgz
HD169142_ModelSetup.tgz
HD169142.para
HD169142.properties