RECX15

White dashed contour lines mark radial Av=0.01 and 1,
black dashed contour lines mark vertical Av=1 and 10.
For SED and comparison to continuum and line observations,
click on RECX15_DIANAfit.ps.gz below.
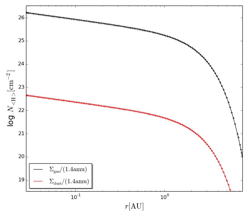
RECX15_coldens.png
RECX15_dens.png
RECX15_DIANAfit.ps.gz
RECX15_ModelOutput.tgz
RECX15_ModelSetup.tgz
RECX15.para
RECX15.properties