DMTau


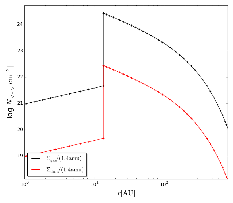
DMTau_coldens.png
DMTau_dens.png
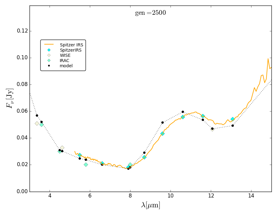
DMTau_midIR.png
DMTau_ModelSetup.tgz
DMTau.out
DMTau.para
DMTau.properties
DMTau_SEDfit.ps.gz
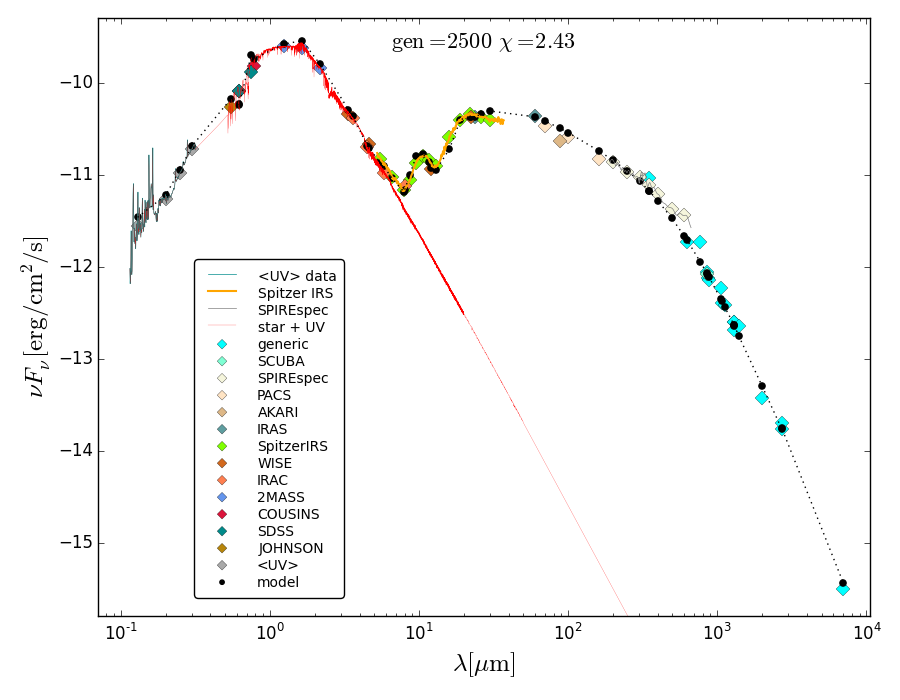
DMTau_SED.png