HD100546


HD100546_coldens.png
HD100546_dens.png
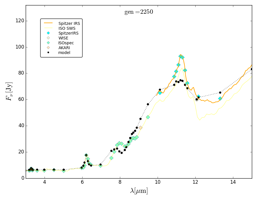
HD100546_midIR.png
HD100546_ModelSetup.tgz
HD100546.out
HD100546.para
HD100546.properties
HD100546_SEDfit.ps.gz
HD100546_SED.png