HD95881


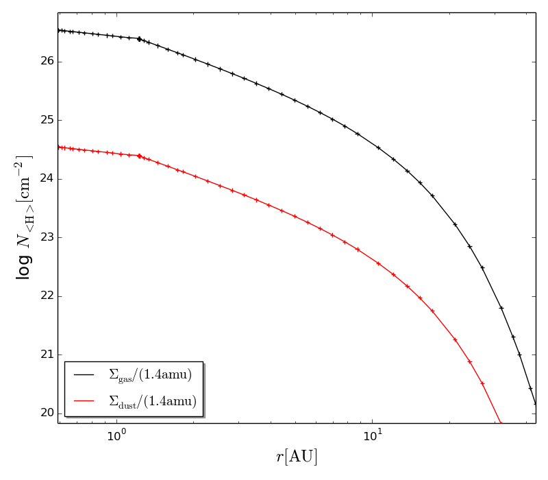
HD95881_coldens.png
HD95881_dens.png
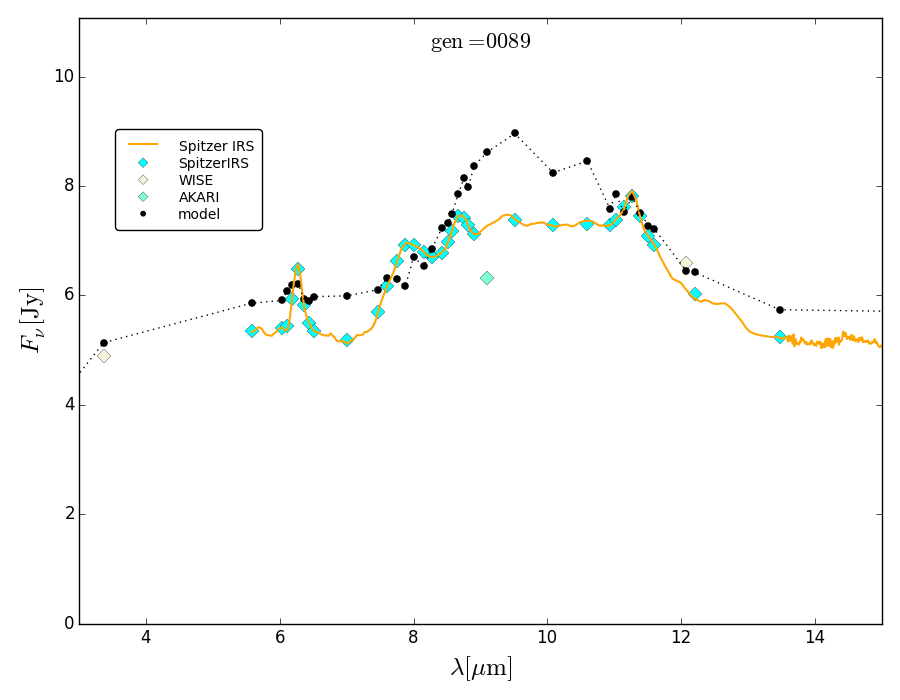
HD95881_midIR.png
HD95881_ModelSetup.tgz
HD95881.out
HD95881.para
HD95881.properties
HD95881_SEDfit.ps.gz
HD95881_SED.png