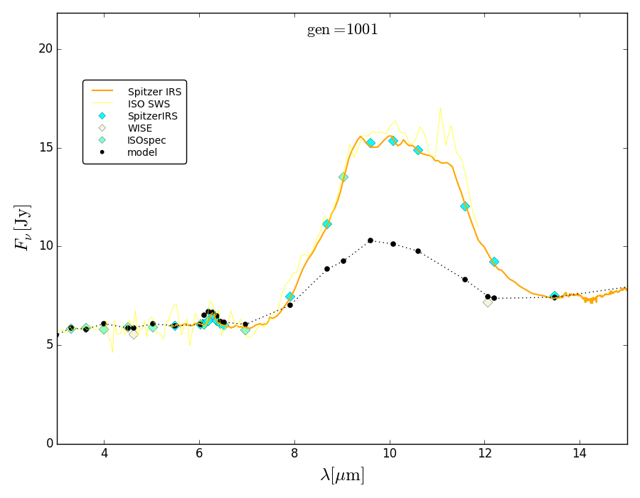
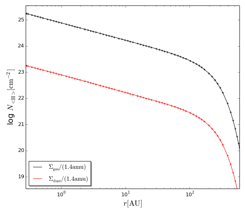
MWC480


MWC480_coldens.png
MWC480_dens.png
MWC480_midIR.png
MWC480_ModelSetup.tgz
MWC480.out
MWC480.para
MWC480.properties
MWC480_SEDfit.ps.gz
MWC480_SED.png