TWHya


TWHya_coldens.png
TWHya_dens.png
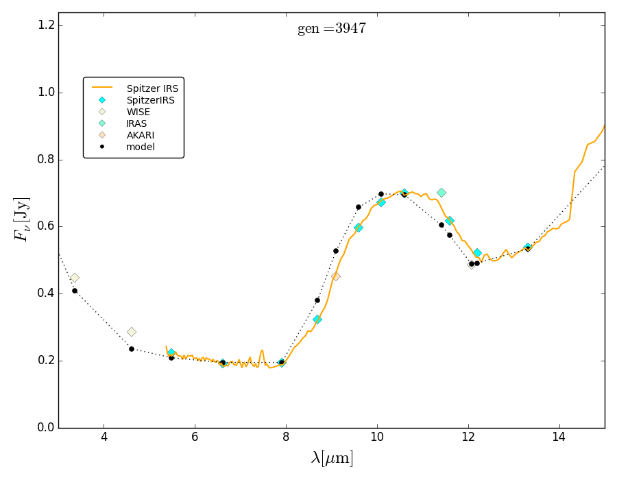
TWHya_midIR.png
TWHya_ModelSetup.tgz
TWHya.out
TWHya.para
TWHya.properties
TWHya_SEDfit.ps.gz
TWHya_SED.png